Ответы
Ответ дал:
0
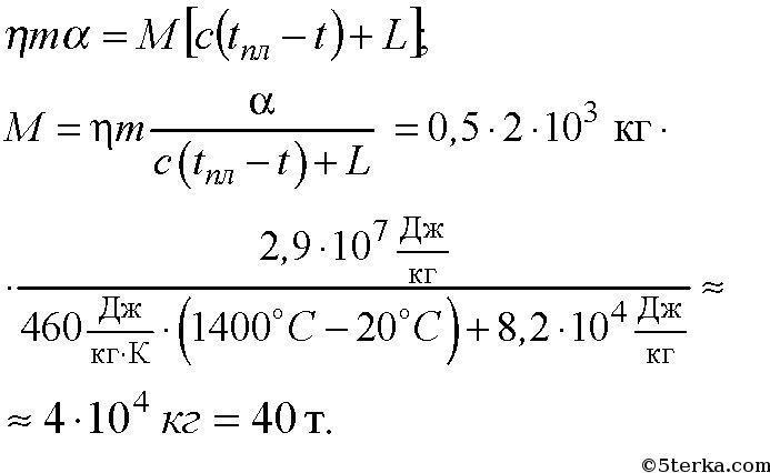
Вот дано и решение.... удачи
Приложения:


Вас заинтересует
2 года назад
3 года назад
3 года назад
10 лет назад