К краям стержня длинной 85 см подвешены грузики массы которых 250 и 600 г. определите где надо поставить опору для стрежня что бы он находился в состоянии равновессия в горизонтальном положении ( массой стрежня принебречь)
Ответы
Ответ дал:
0
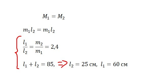
Надеюсь, поймешь) Опору надо ставить на 25 см от правого груза или на 60 см от левого
Приложения:

Ответ дал:
0
Укажите скорось с которой долэжен двигаться електрон что бы его масса стала больше
Ответ дал:
0
помоги, а?)
Ответ дал:
0
Укажите скорось с которой долэжен двигаться електрон что бы его масса стала больше в 3 раза чем масса покоя
Ответ дал:
0
А вот этого не знаю)
Ответ дал:
0
понятно, все равно спасибо
Вас заинтересует
2 года назад
2 года назад
3 года назад
3 года назад
9 лет назад
9 лет назад
10 лет назад
10 лет назад