Найдите отношение площадей двух кругов если радиус одного из них равен 4 см что в 2 раза меньше радиуса второго
Ответы
Ответ дал:
0
отношение площадей будет 1/4, так как
площадь одного круга равна пи*r^2 = пи*16
второго пи* (2*r)^2 = пи * 64, так как радиус второго в два раза больше другого.
площадь одного круга равна пи*r^2 = пи*16
второго пи* (2*r)^2 = пи * 64, так как радиус второго в два раза больше другого.
Ответ дал:
0
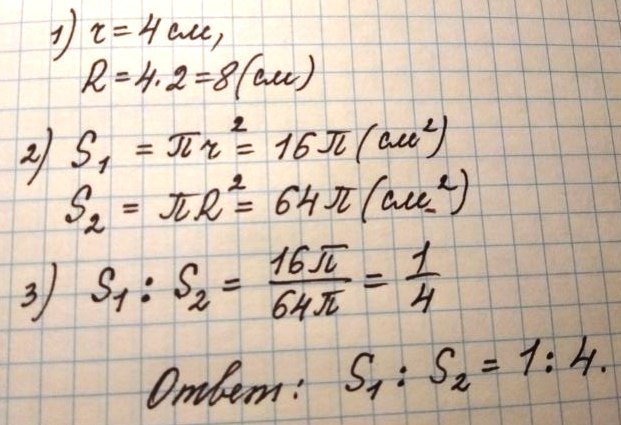
Решение во вложенном иображении
Приложения:
Вас заинтересует
2 года назад
2 года назад
3 года назад
3 года назад
9 лет назад
9 лет назад
10 лет назад