Ответы
Ответ дал:
0
два решения в двух вложениях
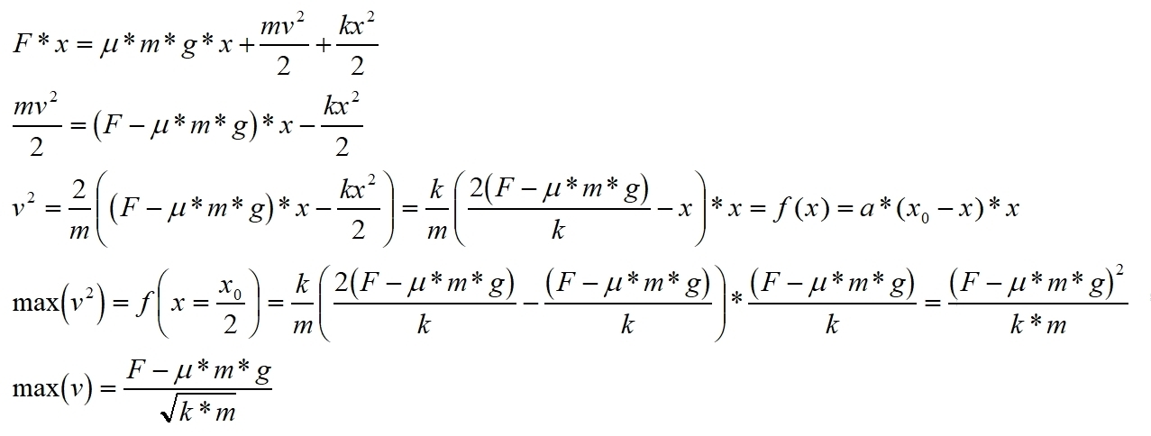
1) на основе законов сохранения
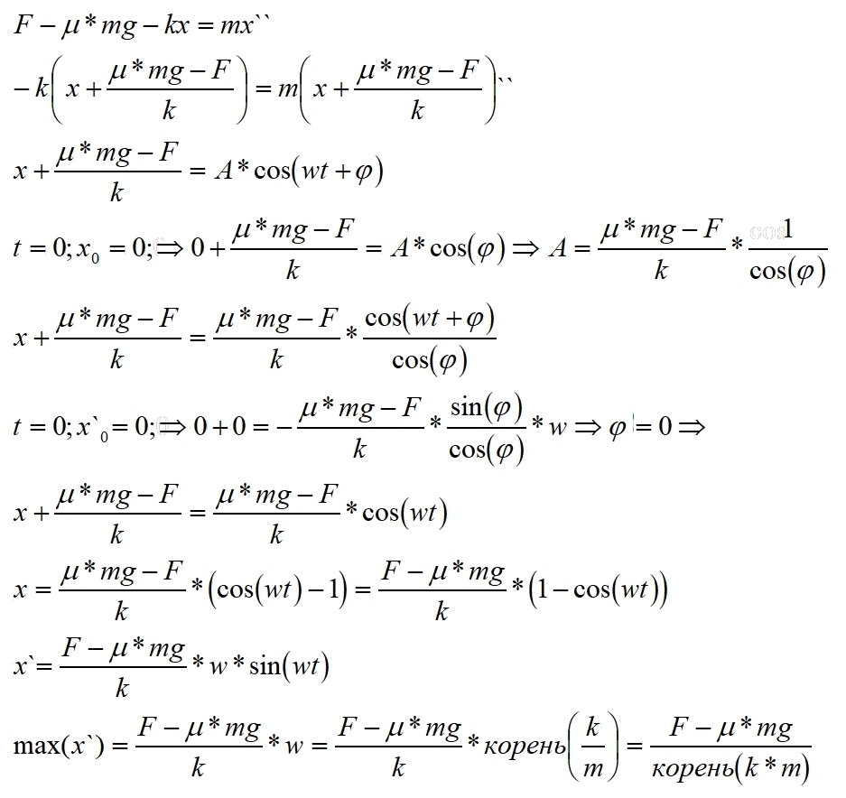
2) решение дифф уравнения
конечная формула получилась одинакова
(F-мю*m*g)/корень(k*m)=(3-0,4*0,25*10)/корень(100*0,25) м/с =0,4 м/с
1) на основе законов сохранения
2) решение дифф уравнения
конечная формула получилась одинакова
(F-мю*m*g)/корень(k*m)=(3-0,4*0,25*10)/корень(100*0,25) м/с =0,4 м/с
Приложения:


Ответ дал:
0
я за первый вариант
Вас заинтересует
3 года назад
9 лет назад
10 лет назад
10 лет назад