• Предмет: Математика
  • Автор: laguna1141
  • Вопрос задан 9 лет назад

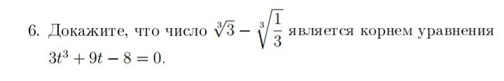
Докажите, что число является корнем уравнения

Приложения:

Ответа на этот вопрос пока нет. Попробуйте найти его через форму поиска.

Вас заинтересует