• Предмет: Математика
  • Автор: mikhailizotov
  • Вопрос задан 9 лет назад

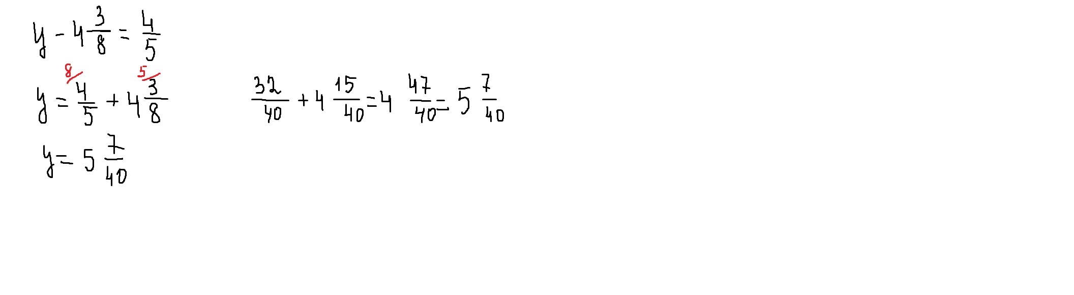
как правельно решить уравнение у-4 3/8= 4/5

Ответы

Ответ дал: HIPM
0

y - 4 frac{3}{8}  =  frac{4}{5}  \ y =  0.8 + 4 frac{3}{8}  \ y =  frac{207}{40}  \ y = 5 frac{7}{40}
Ответ дал: parus77
0
смотри решение внизу(приводим дроби к общему знаменателю)
Приложения:
Вас заинтересует