• Предмет: Алгебра
  • Автор: Vlados7890
  • Вопрос задан 9 лет назад

Решите уравнение!!!! Пожалуйста, очень срочно!

Приложения:

Ответы

Ответ дал: Аноним
0
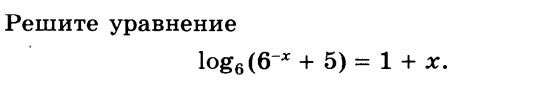
log_6(6^{-x}+5)=1+x\ \ 6^{-x}+5-6^{x+1}=0

Путем подбора: х=0. Других решений нет, так как функция соответствующая этому уравнению, монотонна.

Ответ: х = 0
Ответ дал: Vlados7890
0
По можно поподробнее, пожалуйста.
Ответ дал: Аноним
0
Если не знаете теорему эту, тогда путем замены 6^x=t делайте замену
Ответ дал: Vlados7890
0
Благодарю
Вас заинтересует