• Предмет: Алгебра
  • Автор: madike
  • Вопрос задан 9 лет назад

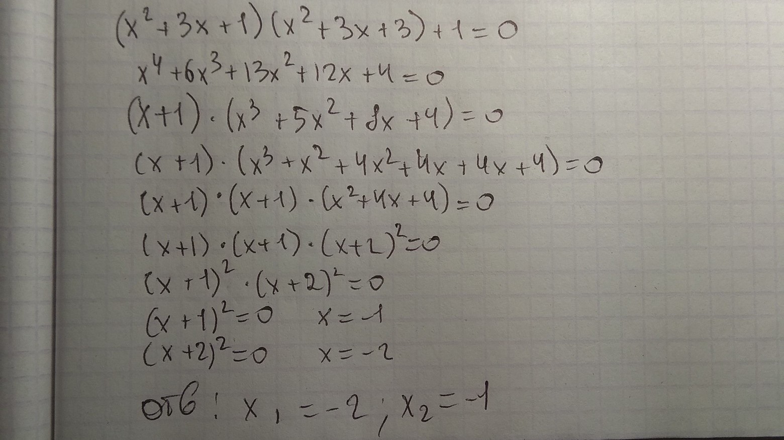
Решите уравнение : (х-2)²(х²-4х)+3=0 ; (х²+3х+1)(х²+3х+3)+1=0 (ответ: -2;-1)

Ответы

Ответ дал: silenthill01
0
ответ в вложении ниже
Приложения:
Вас заинтересует