• Предмет: Алгебра
  • Автор: Bublik17453
  • Вопрос задан 9 лет назад

Помогите пожалуйста!!!!

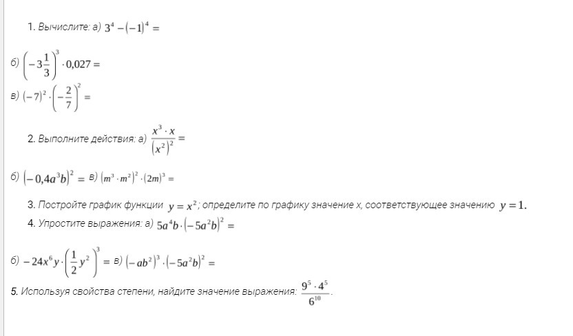
Приложения:

Ответа на этот вопрос пока нет. Попробуйте найти его через форму поиска.

Вас заинтересует