• Предмет: Математика
  • Автор: маруся507
  • Вопрос задан 9 лет назад

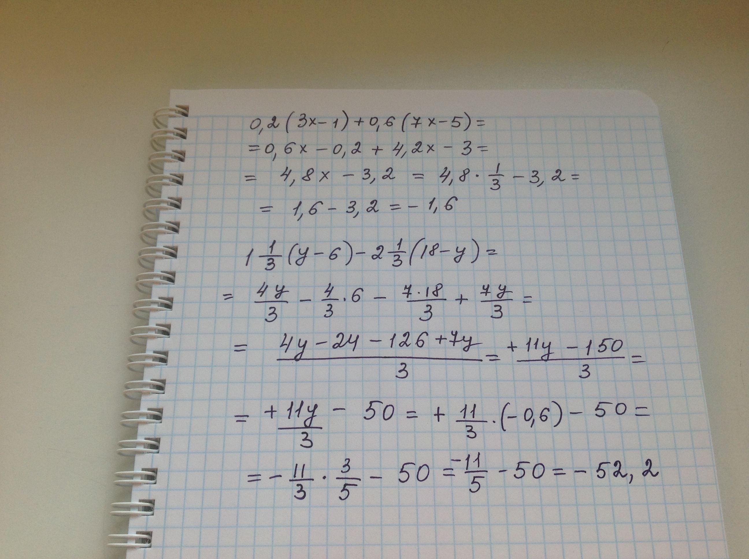
1)найдите значение выражения:
а)0,2(3x-1)+0,6(7x-5) при x=1/3
б)1 1/3(y-6)-2 1/3(18-y) при y=-0,6
Спасибо зарание

Ответы

Ответ дал: ВладимирБ
0
Решение смотри на фото
Приложения:
Вас заинтересует