• Предмет: Алгебра
  • Автор: правар
  • Вопрос задан 9 лет назад

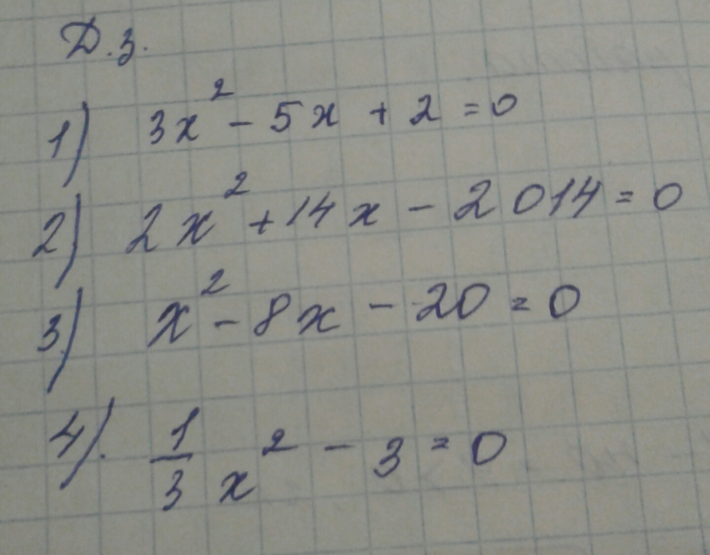
алгебра пж бырее,оч нужно

Приложения:

Ответы

Ответ дал: Вадим5037
0
Держи, там всё подробно расписано, чтобы не докапывались))
Приложения:
Ответ дал: правар
0
тут только одно фото
Ответ дал: правар
0
и че там за к?
Ответ дал: Вадим5037
0
к-это второй коэффициент, решал по второй формуле дискриминанта
Ответ дал: Вадим5037
0
чекни вторую фотку и нажми увеличить, увидишь
Ответ дал: правар
0
мне не нужно по второй можно пож без второй вторую мы еще не проходили ,а фотки второй нету
Вас заинтересует