• Предмет: Физика
  • Автор: Docenko37
  • Вопрос задан 9 лет назад

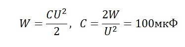
как определить емкость плоского конденсатора если его энергия равна 2 Дж при напряжении 200В

Ответы

Ответ дал: burang4p2gb8r
0
Должно быть так, но что-то очень большая емкость получилась
Приложения:
Вас заинтересует