• Предмет: Математика
  • Автор: noila2
  • Вопрос задан 9 лет назад

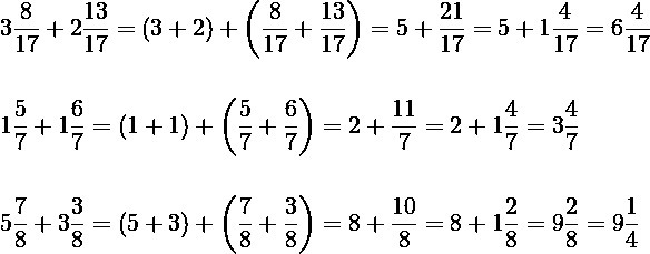
найдите сумму а)3 8/17+ 2 13/17в)1 5/7+ 1 6/7г)5 7/8 + 3 3/8.пример 2 решенные выше

Ответы

Ответ дал: Trover
0
3frac8{17}+2frac{13}{17}=(3+2)+left(frac8{17}+frac{13}{17}right)=5+frac{21}{17}=5+1frac4{17}=6frac4{17}\\\1frac57+1frac67=(1+1)+left(frac57+frac67right)=2+frac{11}7=2+1frac47=3frac47\\\5frac78+3frac38=(5+3)+left(frac78+frac38right)=8+frac{10}8=8+1frac28=9frac28=9frac14
Приложения:
Вас заинтересует