• Предмет: Алгебра
  • Автор: K0TUK007
  • Вопрос задан 9 лет назад

помогите сделать
Нужно только 1 и 2 задание
Срочно!

Приложения:

Ответы

Ответ дал: Jozaf
0
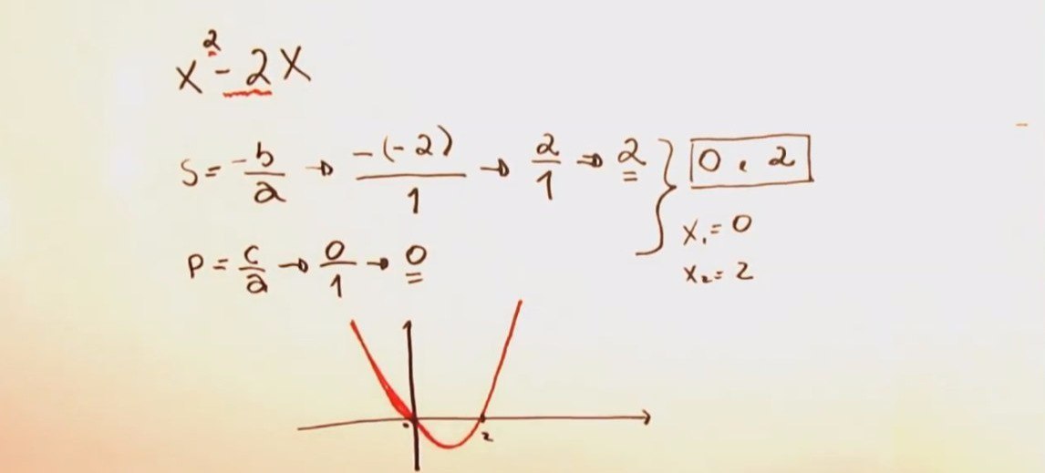
Только 1. Все на скрине
Приложения:
Ответ дал: Jozaf
0
а 2 вообще изи. Все по св-ству степеней.
Вас заинтересует