• Предмет: Алгебра
  • Автор: D1mDimich
  • Вопрос задан 9 лет назад

Помогите пожалуйста, нужно решение, даю 39 баллов

Приложения:

Ответы

Ответ дал: Дмитрий1425
0
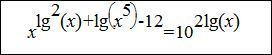
x^{lg^2(x)+log(x^5)-12}=10^{2lg(x)}\ODZ:x textgreater  0\x^{lg^2(x)+lg(x^5)-12}=x^2\lg^2(x)+lg(x^5)-12=2\x neq 1\lg(x)=t\t^2+5t-12=2\t^2+5x-14=0\D=25+56=81\t_1= frac{-5+9}{2}=2\t_2=-7\lg(x)=2\x=100\lg(x)=-7\x= frac{1}{10^7}
и последний корень это 1
Ответ дал: D1mDimich
0
Спасибо
Ответ дал: D1mDimich
0
Стоп, что значит последний корень это 1?
Вас заинтересует