• Предмет: Математика
  • Автор: Salima07
  • Вопрос задан 9 лет назад

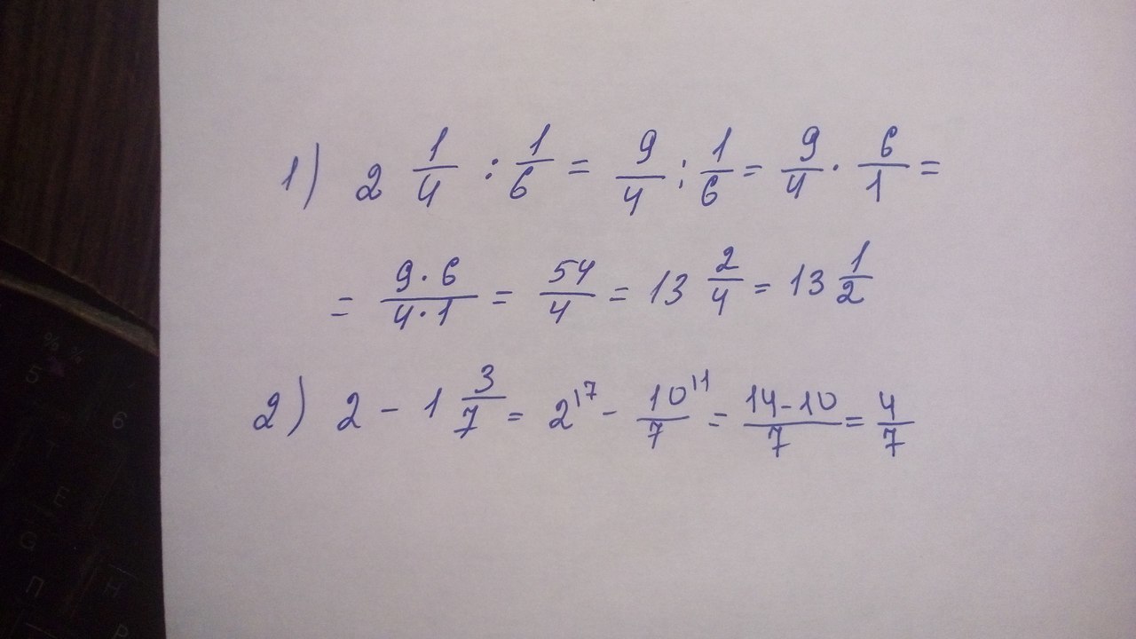
2 целых 1/4:1/6; 2 целых-1 целая 3/7

Ответы

Ответ дал: Tanya252525
0
Если разбирать написанное, то вот 
Приложения:
Ответ дал: Salima07
0
Спасииибо!!!
Вас заинтересует