• Предмет: Математика
  • Автор: Парасолька11
  • Вопрос задан 9 лет назад

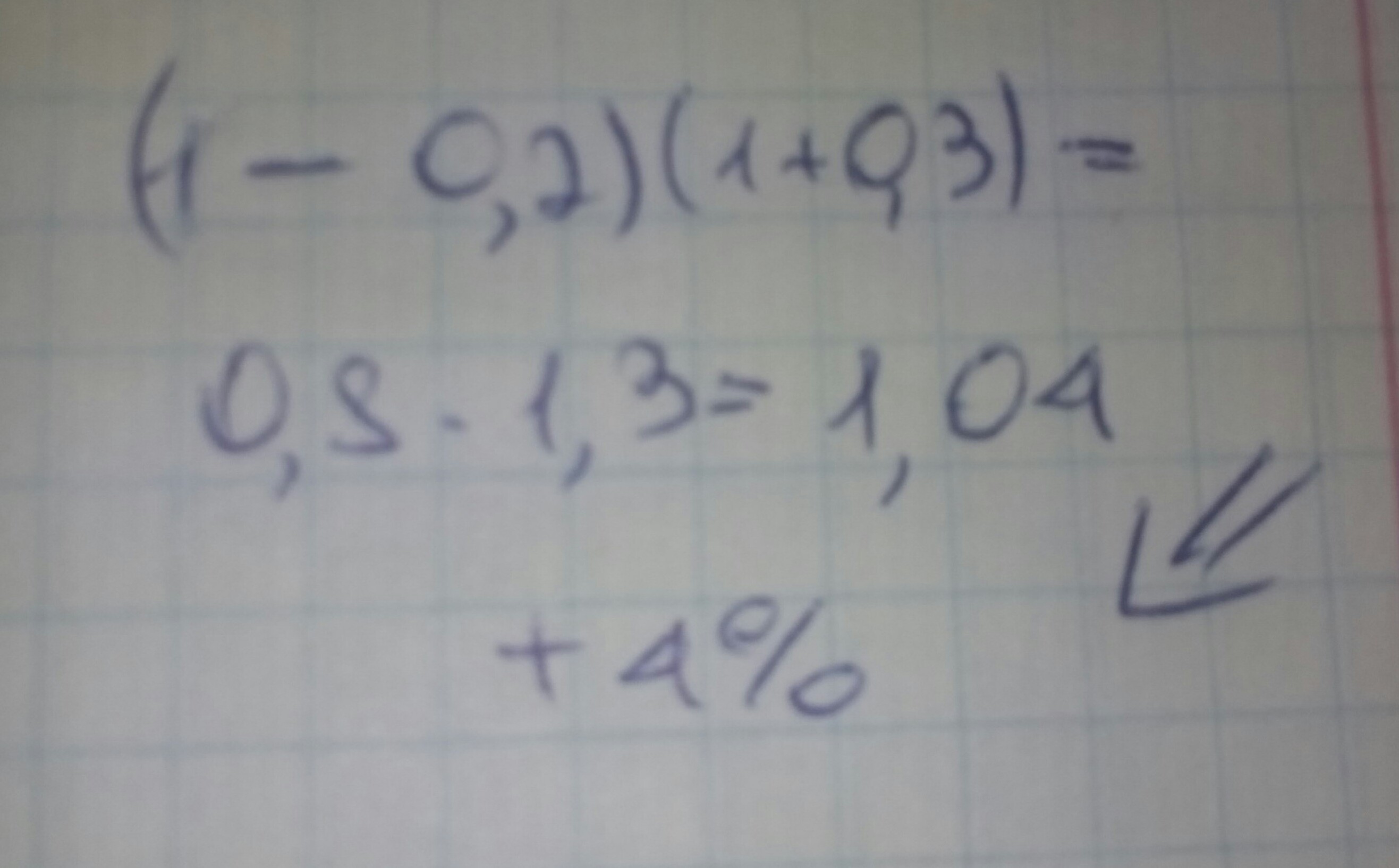
На сколько процентов изменится площадь прямоугольника, если его длину уменьшить на 20%, а ширину увеличить на 30%?

Ответы

Ответ дал: EugeneKulish
0
........................,
Приложения:
Ответ дал: putin100
0
На 10 % изменится площадь прямоугольника
Приложения:
Ответ дал: Парасолька11
0
Как это у вас получилось?
Вас заинтересует