Ответы
Ответ дал:
0
Надеюсь, что понятно) Ответы выделены красной ручкой
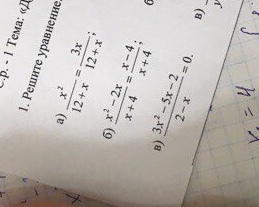
Приложения:

Ответ дал:
0
Спасибо
Вас заинтересует
2 года назад
2 года назад
3 года назад
9 лет назад
9 лет назад
10 лет назад
10 лет назад