Ответы
Ответ дал:
0
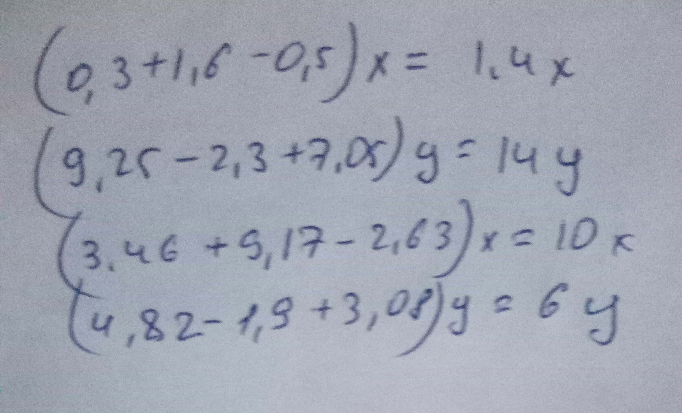
1) 0,3х + 1,6х - 0,5х= 1,4х
2) 9,25у - 2,3у + 7,05 у= 14у
3) 3,46х + 9,17х - 2,63х= 10х
4) 4,82у - 1,9у + 3,08у= 6у
2) 9,25у - 2,3у + 7,05 у= 14у
3) 3,46х + 9,17х - 2,63х= 10х
4) 4,82у - 1,9у + 3,08у= 6у
Ответ дал:
0
:) Если есть вопросы , то напишите в комментариях ....
Приложения:

Ответ дал:
0
Молоднц
Ответ дал:
0
Молодец*
Вас заинтересует
2 года назад
2 года назад
3 года назад
3 года назад
10 лет назад