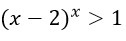
Ребят!! Помогите, пожалуйста, решить эти неравенства. Для первых двух нужно применить метод рационализации (желательно с подробной росписью, а не просто применением формулы), а для последних двух стандартный метод решения таких уравнений. Большое спасибо!
Приложения:




Ответа на этот вопрос пока нет. Попробуйте найти его через форму поиска.
Вас заинтересует
2 года назад
2 года назад
3 года назад
9 лет назад
10 лет назад