• Предмет: Алгебра
  • Автор: Аноним
  • Вопрос задан 9 лет назад

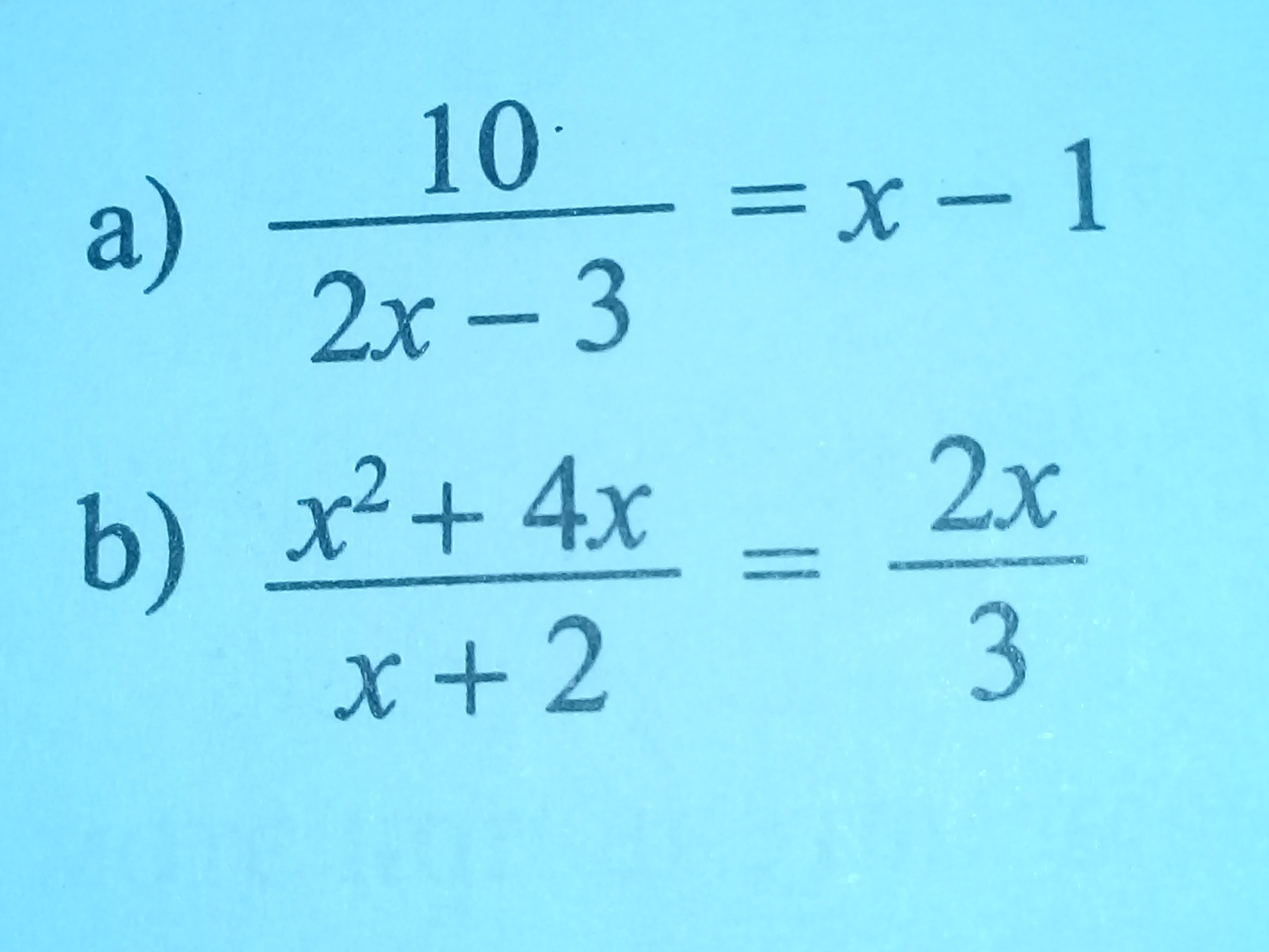
Рациональные уравнентя . Решите уравнения . Пппжж срочнноо надо

Приложения:

Ответы

Ответ дал: aydin123
0
(2x-3)(x-1)=10
2x²-2x-3x+3=10
2x²-5x-7=0

3(x²+4x)=2x(x+2)
3x²+12x=2x²+4x
3x²+12x-2x²-4x=0
x²+8x=0
Вас заинтересует