Ответы
                                            Ответ дал: 
                                                                                    
                                        
                                            
                                                
                                                
                                                
                                                    0
                                                
                                            
                                        
                                    
                                        #1
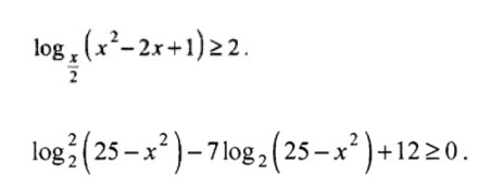
Нахождение ОДЗ:




ОДЗ - (0;1)∪(1;2)∪(2;+∞)
Основание логарифма может принадлежать к двум промежуткам - (0;1) или (1;+∞). Найдем решение в каждом из случаев.
1)









Пересечение ОДЗ и решения дает нам интервал [2/3;1)∪(1;2)
2)








Пересечение ОДЗ и решения дает нам (2;+∞)
Объединение решений случаев 1 и 2 дает общее решение неравенства - [2/3;1)∪(1;2)∪(2;+∞)
#2
Нахождение ОДЗ:



ОДЗ - (-5;5)










(-∞;-√17]∪[√17;+∞)





[-3;3]
Объединение решений учетом ОДЗ (-5;5) - (-5;-√17]∪[-3;3]∪[√17;5)
                                    
                                        
                                        
                                Нахождение ОДЗ:
ОДЗ - (0;1)∪(1;2)∪(2;+∞)
Основание логарифма может принадлежать к двум промежуткам - (0;1) или (1;+∞). Найдем решение в каждом из случаев.
1)
Пересечение ОДЗ и решения дает нам интервал [2/3;1)∪(1;2)
2)
Пересечение ОДЗ и решения дает нам (2;+∞)
Объединение решений случаев 1 и 2 дает общее решение неравенства - [2/3;1)∪(1;2)∪(2;+∞)
#2
Нахождение ОДЗ:
ОДЗ - (-5;5)
(-∞;-√17]∪[√17;+∞)
[-3;3]
Объединение решений учетом ОДЗ (-5;5) - (-5;-√17]∪[-3;3]∪[√17;5)
Вас заинтересует
                
                        2 года назад
                    
                
                        3 года назад
                    
                
                        9 лет назад
                    
                
                        9 лет назад
                    
                
                        10 лет назад
                    
                
                        10 лет назад
                    
                