Ответы
Ответ дал:
0
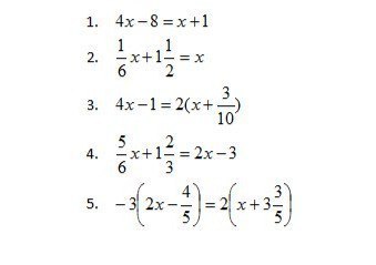
1) 4х-х=1+8
3х=9 ; х=3
2)1/6х-х=-1 1/2
-5/6х=-3/2
х=5/9
3)4х-1=2х+6/10
4х-2х=6/10+1
2х=8/10=0,8
4)5/6х-2х=-3-1 2/3
х(5/6-2)=1 1/3
-1 1/6х=1 1/3
-7/6х=4/3
х= -8/7=-1 1/7
5)-6х+12/5=2х+36/5
-6х-2х=-12/5+36/5
-8х=7 1/5-2 2/5=4 4/5
х= -24/5:8=-3/5
3х=9 ; х=3
2)1/6х-х=-1 1/2
-5/6х=-3/2
х=5/9
3)4х-1=2х+6/10
4х-2х=6/10+1
2х=8/10=0,8
4)5/6х-2х=-3-1 2/3
х(5/6-2)=1 1/3
-1 1/6х=1 1/3
-7/6х=4/3
х= -8/7=-1 1/7
5)-6х+12/5=2х+36/5
-6х-2х=-12/5+36/5
-8х=7 1/5-2 2/5=4 4/5
х= -24/5:8=-3/5
Ответ дал:
0
СПАСИБО БОЛЬШОЕ!!!
Вас заинтересует
2 года назад
2 года назад
3 года назад
3 года назад
9 лет назад
10 лет назад