• Предмет: Алгебра
  • Автор: AlexRav
  • Вопрос задан 9 лет назад

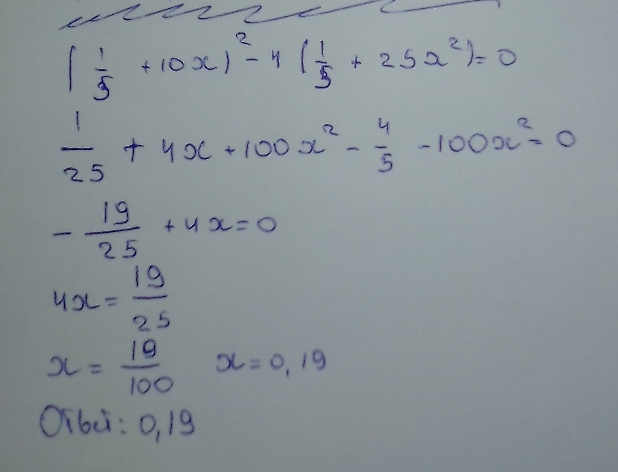
Решите уровнение - ПОЖАЛУЙСТА БЫСТРО!

Приложения:

Ответы

Ответ дал: Undergrounder
0
Ну вот и твой ответ (づ ̄ ³ ̄)づ
Приложения:
Ответ дал: AlexRav
0
Надеюсь правильно,спасибо
Ответ дал: DiMaShArOnOv
0
х в 4 степени =0
х²°²=0


Приложения:
Вас заинтересует