• Предмет: Математика
  • Автор: alabugindanil
  • Вопрос задан 9 лет назад

Решите пж , алгебра 8 класс

Приложения:

Ответы

Ответ дал: Sister68
0
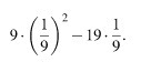
9* 1/81-19* 1/9
1/9-2 целых 1/9= -2
Ответ дал: alabugindanil
0
Спасибо уважаемый
Вас заинтересует