• Предмет: Алгебра
  • Автор: hilerushka
  • Вопрос задан 9 лет назад

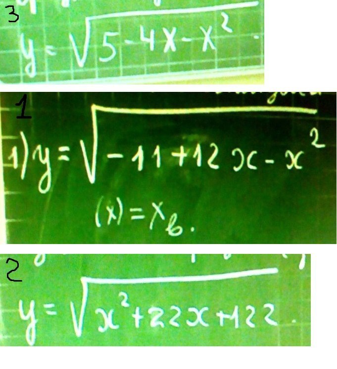
Точка максимума.
1)
2)Найти наименьшее значение функции(у).
3)Найти наибольшее значение функции(у).

Приложения:

Ответы

Ответ дал: ereni
0
1) -12/-2=6
2)22/2=11
3)-4/-2=2
Вас заинтересует