Добрый вечер! Помогите решить задачу:
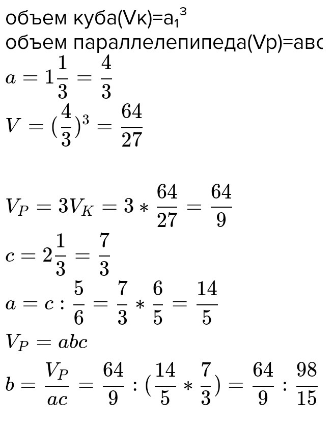
Объем прямоугольного параллелепипеда в 1 целую 1/2 раза больше объема куба с ребром 1 целая 1/3 м. Ширина прямоугольного параллелепипеда, равная 1 целая 1/5 м, составляет 3/10 его длинны. Найди высоту параллелепипеда.
Ответы
Ответ дал:
0
воооооооооооооооооотъ
Приложения:

Вас заинтересует
2 года назад
2 года назад
3 года назад
3 года назад
9 лет назад
9 лет назад
10 лет назад