• Предмет: Алгебра
  • Автор: ziyabekov72p3hkyf
  • Вопрос задан 9 лет назад

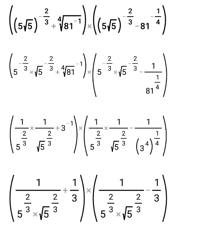
Упростить выражение
спасибо

Приложения:

Ответы

Ответ дал: Аноним
0
Ответ:-16/225..............
Приложения:
Вас заинтересует