• Предмет: Алгебра
  • Автор: галя266
  • Вопрос задан 9 лет назад

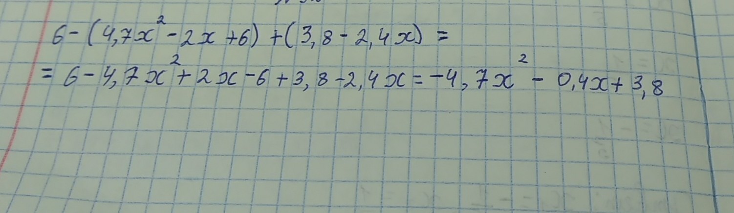
приведите в стандартный вид
6 - (4.7x {}^{2}  - 2x + 6) + (3.8 - 2.4x)

Ответы

Ответ дал: BpexLoader
0
Решение на фото, не забудь поставить лайк, а так же сделать мой ответ - ЛУЧШИМ
Приложения:
Вас заинтересует