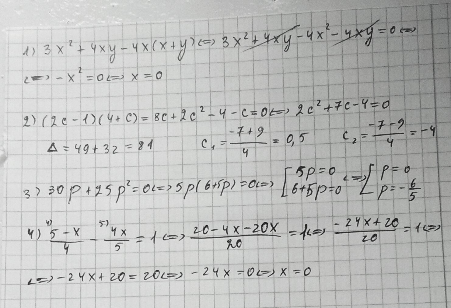
1) 3х ^2 + 4ху - 4х * (х+у)
2) ( 2с -1 ) * ( 4 + с)
3) 30 р + 25 р ^ 2
4) 5-х: 4 - 4х : 5 = 1
Срочно пожалуйста помогите
Ответы
Ответ дал:
0
Надеюсь, правильно поняла последнее уравнение, именно что на что делится.
Приложения:

Вас заинтересует
2 года назад
3 года назад
3 года назад
9 лет назад
9 лет назад
10 лет назад