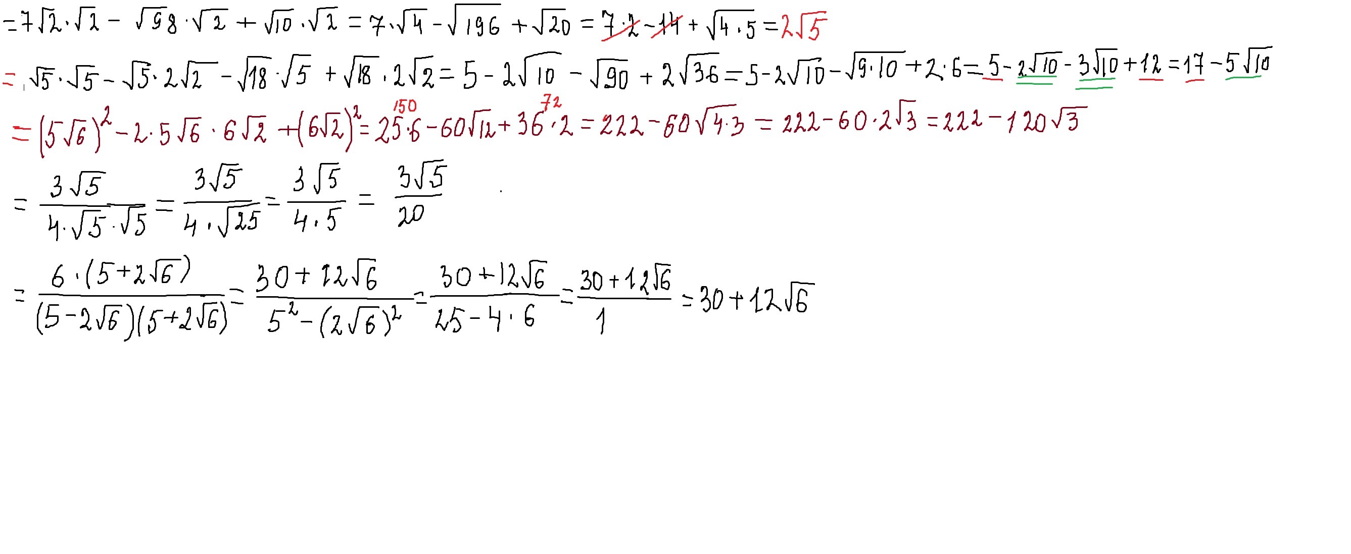
Выполнить действия.
(7√2-√98+√10)*√2
Упростите.
(√5-√18)(√5-2√2)
Выполнить возведение в степень
(5√6-6√2)²
Освободитесь от иррациональности в знаменателе дроби
3
-------
4√5
Уберите корень из знаменателя
6
----------
5-2√6
Помогите пожалуйста!
Ответы
Ответ дал:
0
решение смотри внизу
Приложения:
Вас заинтересует
2 года назад
2 года назад
3 года назад
3 года назад
9 лет назад
9 лет назад
10 лет назад