катеты прямоугольного треугольника относятся как 8:15 а гипотенуза равна 6,8 найдите площадь треугольника
Ответы
Ответ дал:
0
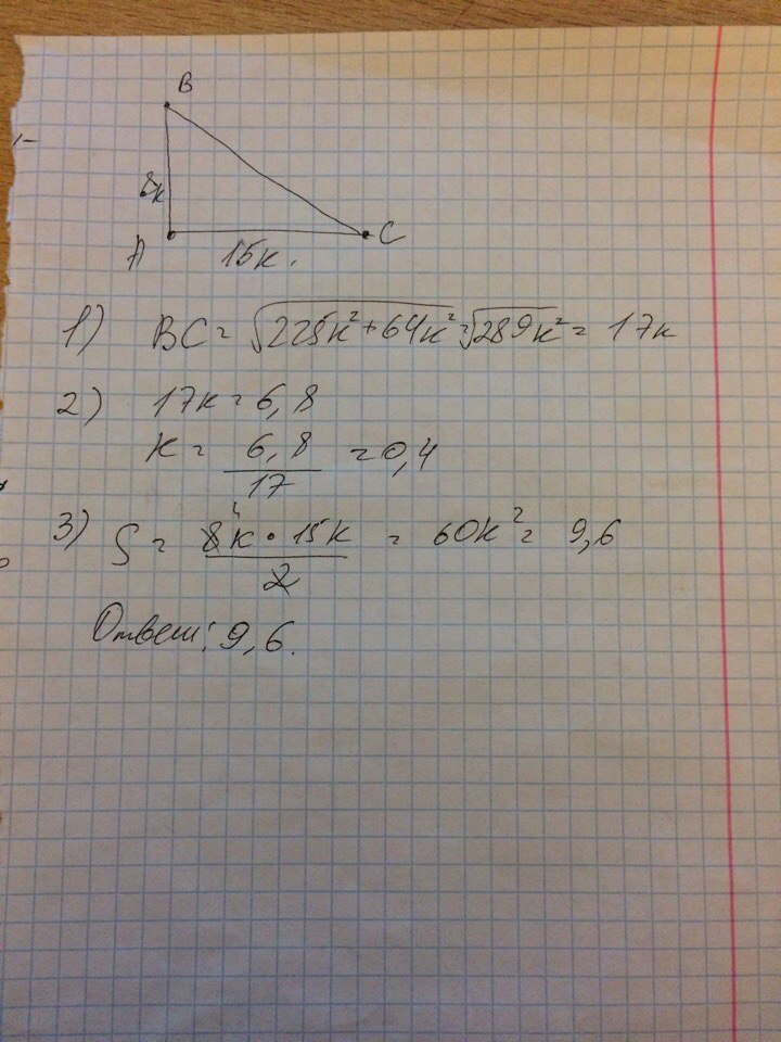
1. Найдем гипотенузу 17к
2. Найдем: 17к=6,8. => к = 0,4
3 S= 1/2 ab= 1/2 8к*15к= подставим к=0,4 и посчитаем.
Ответ: 9,6
2. Найдем: 17к=6,8. => к = 0,4
3 S= 1/2 ab= 1/2 8к*15к= подставим к=0,4 и посчитаем.
Ответ: 9,6
Приложения:

Ответ дал:
0
почему гипотенуза 17
Ответ дал:
0
по теореме пифагора
Ответ дал:
0
она не 17, а 17к
Вас заинтересует
2 года назад
2 года назад
3 года назад
3 года назад
9 лет назад
10 лет назад