Ответы
Ответ дал:
0
123123123123123121123123
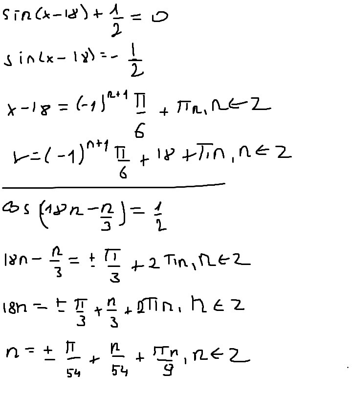
Приложения:

Вас заинтересует
2 года назад
2 года назад
3 года назад
3 года назад
9 лет назад
9 лет назад