Ответы
Ответ дал:
0
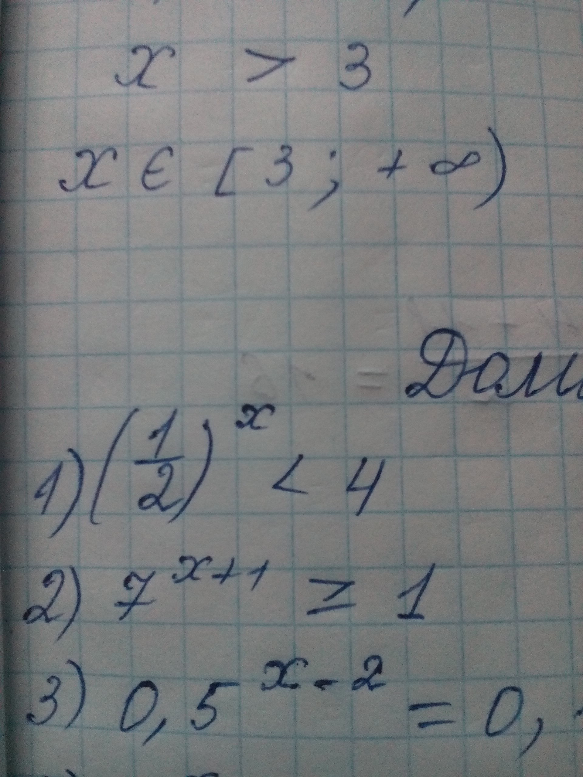
(1/2)^x < 4
(1/2)^x < (1/2)^-2
так как основание меньше 1 то меняем знак
x > -2
-----------------
7^(x+1) >= 1
7^(x+1) >= 7^0
так основание больше 1 то знак не меняем
x+1>=0
x>=-1
(1/2)^x < (1/2)^-2
так как основание меньше 1 то меняем знак
x > -2
-----------------
7^(x+1) >= 1
7^(x+1) >= 7^0
так основание больше 1 то знак не меняем
x+1>=0
x>=-1
Ответ дал:
0
1)2^-x<2^2=-x<2=x>-2
Вас заинтересует
2 года назад
2 года назад
3 года назад
9 лет назад