• Предмет: Математика
  • Автор: nia91
  • Вопрос задан 9 лет назад

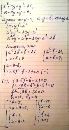
Помогите решить , алгебра 10 класс

Приложения:

Ответы

Ответ дал: matilda17562
0
Решение во вложенных изображениях
Приложения:
Вас заинтересует