• Предмет: Алгебра
  • Автор: katerina363
  • Вопрос задан 9 лет назад

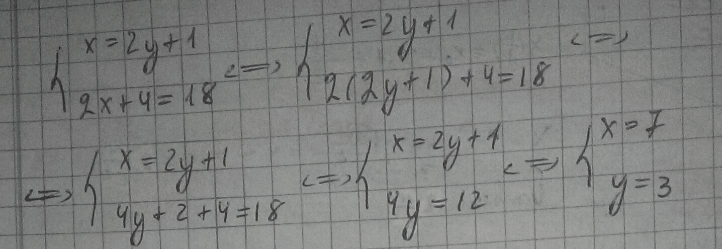
решить систему х=2у+1 и 2х+4=18

Ответы

Ответ дал: TorrensEmy
0
Как-то вот так вот :D
Приложения:
Вас заинтересует