• Предмет: Алгебра
  • Автор: kiraam123
  • Вопрос задан 9 лет назад

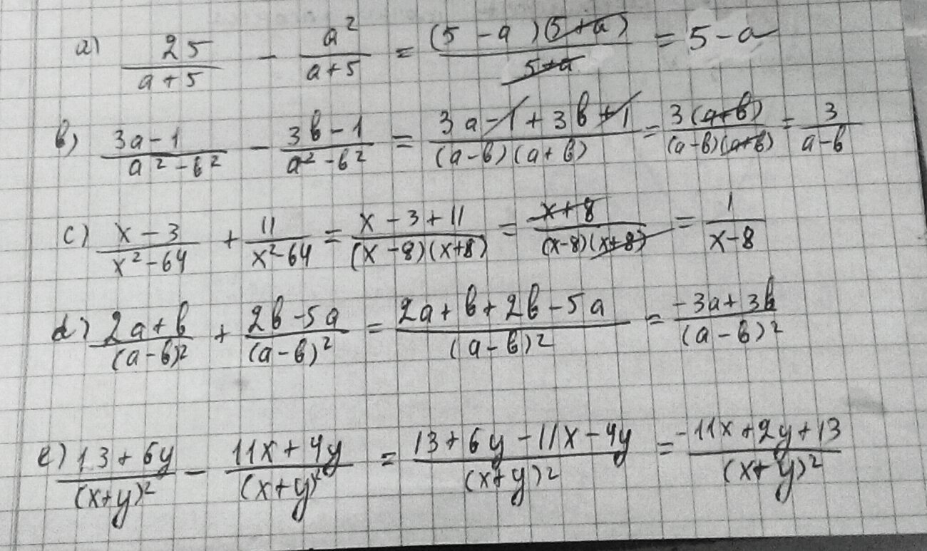
Упростить выражение: a)25/a+5 - a^2/ a+5 b)3a-1/a^2-b^2 - 3b-1/a^2- b^2 C)x-3/x^2-64 + 11/x^2-64 d) 2a+b/(a-b)^2 + 2b-5a/(a-b)^2 e)13x+6y/(x+y)^2 - 11x+4y/(x+y)^2

Ответы

Ответ дал: TorrensEmy
0
Даже не знаю, как упростить d и e, даже раскрывая скобки не получается упростить.
Приложения:
Вас заинтересует