Ответы
Ответ дал:
0
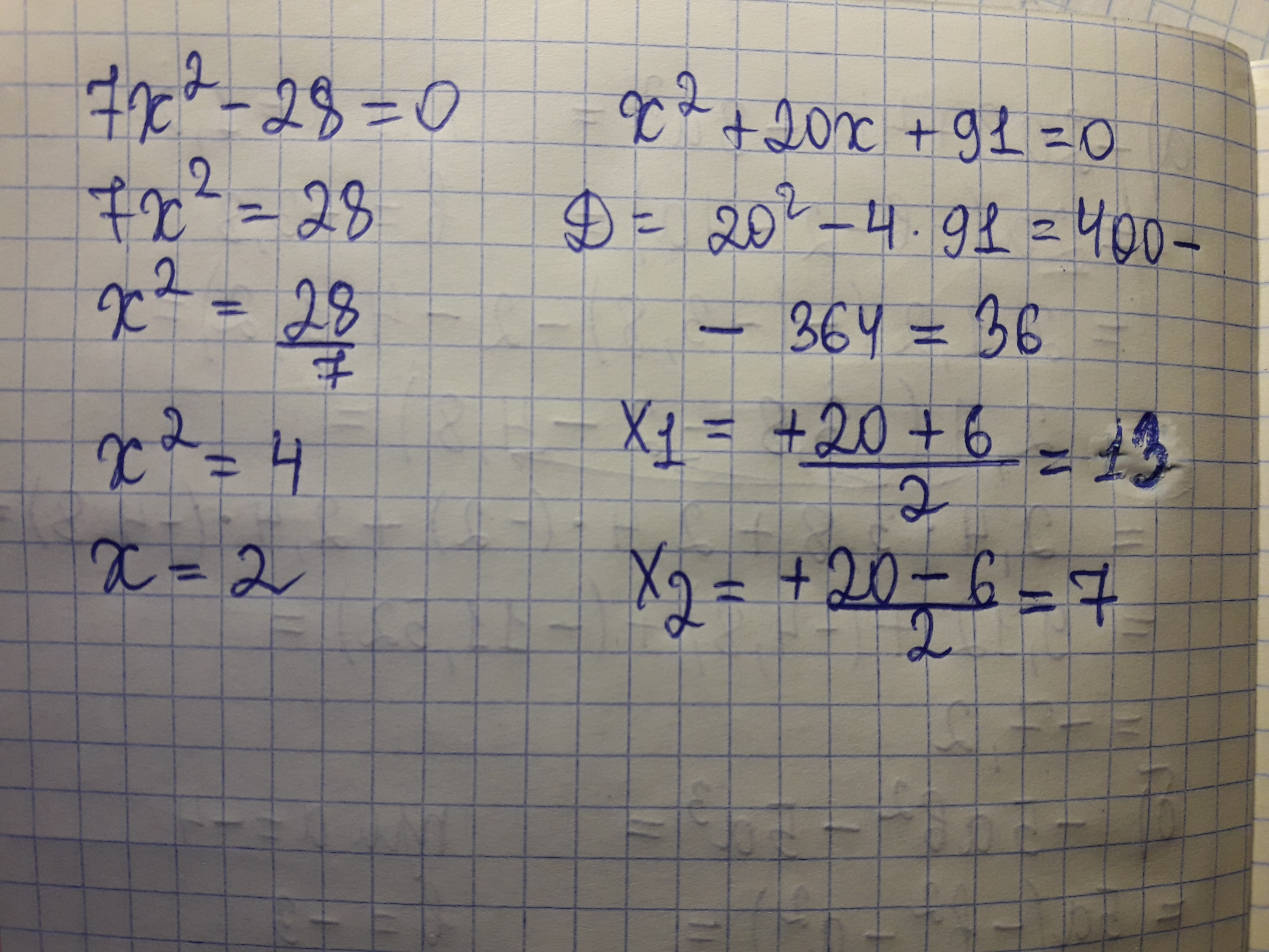
1.7x^2-28=0
7x^2=28 | :7
x^2=4
x=2
2.x^2+20x+91=0
D=b^2-4ac=400 - 4 * 91 * 1= 400 - 364 = 36
x1,2=-b+-√D
x1 = -20 + 6= 14
x2= -20 - 6 = -26
7x^2=28 | :7
x^2=4
x=2
2.x^2+20x+91=0
D=b^2-4ac=400 - 4 * 91 * 1= 400 - 364 = 36
x1,2=-b+-√D
x1 = -20 + 6= 14
x2= -20 - 6 = -26
Ответ дал:
0
x1= -14*
Ответ дал:
0
Ты забыл(а) разделить на 2,чтобы получилось -13 и -7
Ответ дал:
0
да, извиняюсь
Ответ дал:
0
Ничего
Ответ дал:
0
Во втором нужно найти дискриминант
Приложения:

Ответ дал:
0
Спасибо,но только в ответах будет -13 и -7
Вас заинтересует
2 года назад
3 года назад
3 года назад
9 лет назад
9 лет назад
10 лет назад
10 лет назад