• Предмет: Алгебра
  • Автор: OLGAGLEB1960
  • Вопрос задан 9 лет назад

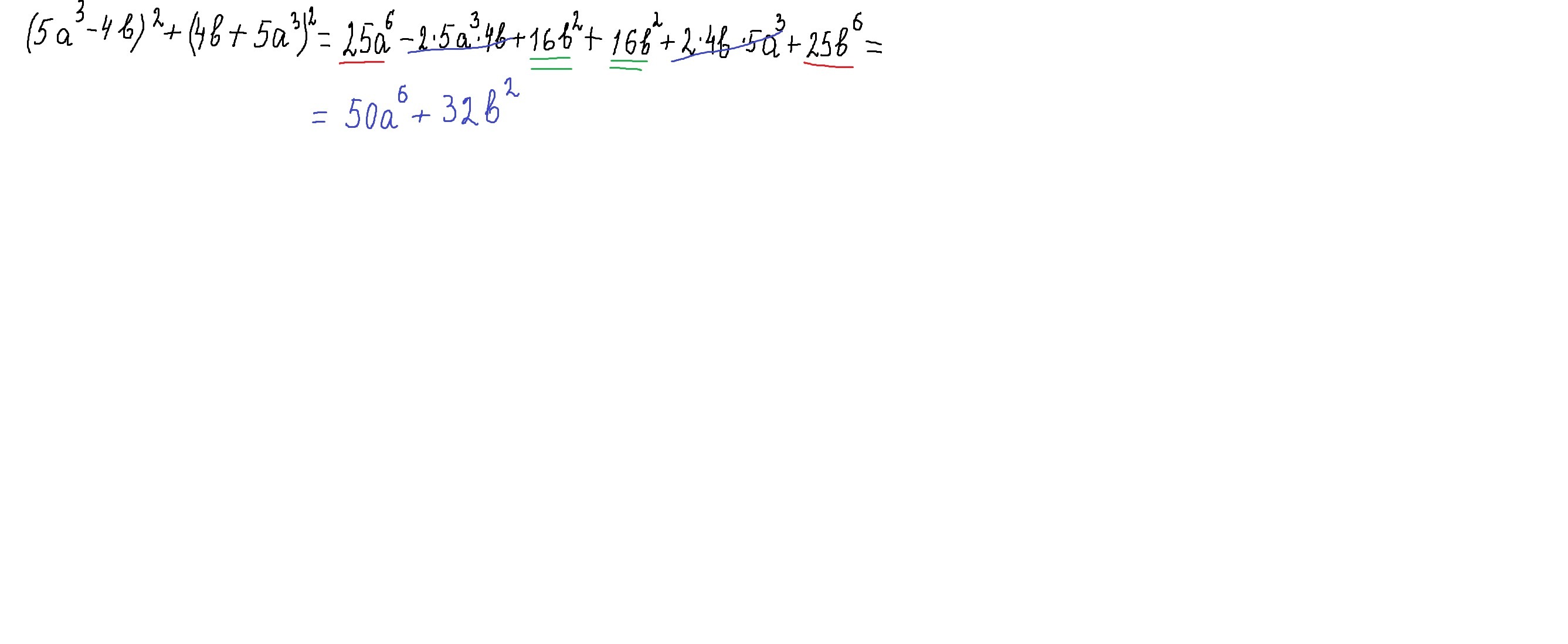
(5a^3-4b)^2+(4b+5a^3)^2 = УПРОСТИТЬ

Ответы

Ответ дал: Аноним
0
(5a^3-4b)(5a^3-4b)+(4b+5a^3)^2
5a^3(5a^3)+5a^3(-4b)-4b(5a^3)-4b(-4b)+(4b+5a^3)^2
25a^6-40a^3b+16b^2+(4b+5a^3)^2
25a^6-40a^3b+16b^2+(4b+5a^3)(4b+5a^3)
25a^6-40a^3b+16b^2+(4b(4b)+4b(5a^3)+5a^3(4b)+5a^3(5a^3))
25a^6-40a^3b+16b^2+(16b^2+40a^3b+25a^6)
25a^6-40a^3b+16b^2+16b^2+40a^3b+25a^6
50a^6-40a^3b+16b^2+16b^2+40a^3b
50a^6+16b^2+16b^2+0
50a^6+16b^2+16b^2
50a^6+32b^2
Ответ дал: parus77
0
а применить формулы квадрат суммы и квадрат разности -было не легче?
Ответ дал: Аноним
0
Я не знаю. Обычно я так решаю.
Ответ дал: parus77
0
но это же так неудобно,сравните ваше решение и мое.Формулы сокращенного умножения как раз и нужны для этого,чтобы упростить решение.
Ответ дал: parus77
0
решение смотри внизу
Приложения:
Вас заинтересует