• Предмет: Алгебра
  • Автор: dfgdfhgjhfgadfsg
  • Вопрос задан 9 лет назад

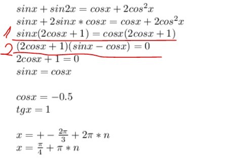
Пока какой формуле? Из 1 сделали 2

Приложения:

Ответы

Ответ дал: m11m
0
!!!!!!!!!!!!!!!!!!!!!!!!!!
Приложения:
Вас заинтересует