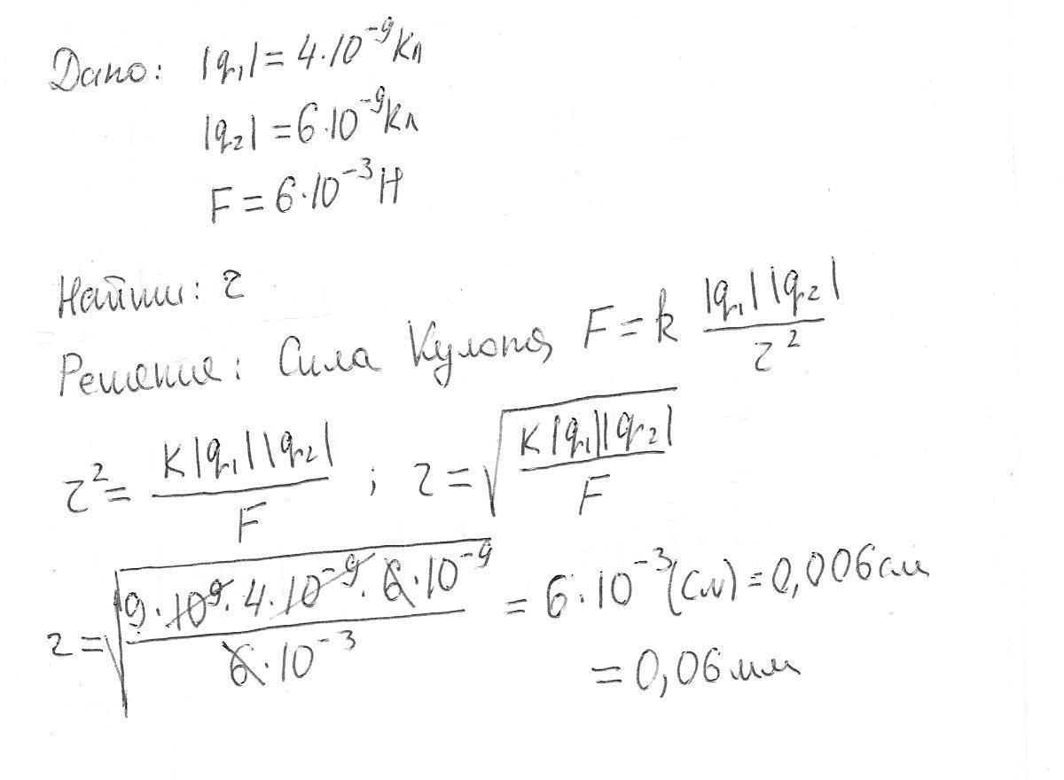
На якій відстані розташовані один від одного точкові заряди 4нКл і 6нКл якщо сила їх взаємодії дорівнює 6мН?
Ответы
Ответ дал:
0
F=k|q1|*|q2|/r^2
r^2=k|q1||q2|/F
r=√(k*|q1|*|q2|/F)
r=√(9*10^9*4*10^(-9)*6*10^(-9))/(6*10^(-3))=6√10^-6=6*10^-3 (см)=0,06 мм
r^2=k|q1||q2|/F
r=√(k*|q1|*|q2|/F)
r=√(9*10^9*4*10^(-9)*6*10^(-9))/(6*10^(-3))=6√10^-6=6*10^-3 (см)=0,06 мм
Приложения:
Вас заинтересует
3 года назад
3 года назад
9 лет назад
9 лет назад
10 лет назад