• Предмет: Алгебра
  • Автор: MeowDashaEee
  • Вопрос задан 9 лет назад

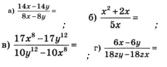
15 баллов. Алгебра. Сократите дробь.

Приложения:

Ответа на этот вопрос пока нет. Попробуйте найти его через форму поиска.

Вас заинтересует