Ответы
Ответ дал:
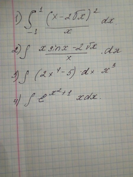
0
1
от -1 не может быть,так как √х≥0,т.е.х≥0
Беру просто интеграл
∫(x²²-4x√x+4x)dx/x=∫(x-4√x+4)dx=x²/2-4*2/3x√x+4x=x²/2-8/3*x√x+4x+C
2
∫(sinx-2/√x)dx=-cosx-4√x+C
3
∫(2x^7-5x³)dx=2x^8/8-5x^4/4=x^8/4_5x^4/4+C
4
u=e^(x²+1) du=2xe^(x²+1)⇒⇒xe^(x²+1)=du/2
∫du/2=1/2*u=1/2*e^(x²+1)+C
от -1 не может быть,так как √х≥0,т.е.х≥0
Беру просто интеграл
∫(x²²-4x√x+4x)dx/x=∫(x-4√x+4)dx=x²/2-4*2/3x√x+4x=x²/2-8/3*x√x+4x+C
2
∫(sinx-2/√x)dx=-cosx-4√x+C
3
∫(2x^7-5x³)dx=2x^8/8-5x^4/4=x^8/4_5x^4/4+C
4
u=e^(x²+1) du=2xe^(x²+1)⇒⇒xe^(x²+1)=du/2
∫du/2=1/2*u=1/2*e^(x²+1)+C
Вас заинтересует
2 года назад
2 года назад
3 года назад
3 года назад
9 лет назад
10 лет назад