• Предмет: Алгебра
  • Автор: эндшпиль2004
  • Вопрос задан 9 лет назад

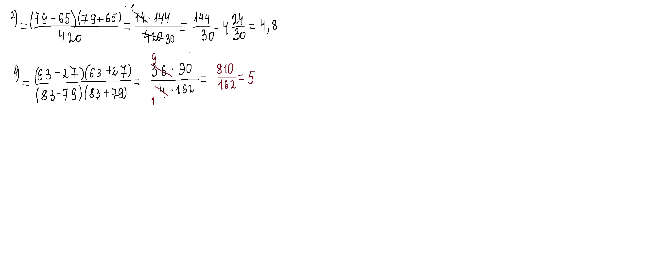
надо(2, 4) сейчас срочно помогите пожалуйста!!!!

Приложения:

Ответы

Ответ дал: parus77
0
применяем формулу  а²-в²=(а-в)(а+в)
Приложения:
Вас заинтересует