• Предмет: Геометрия
  • Автор: Head69
  • Вопрос задан 2 года назад

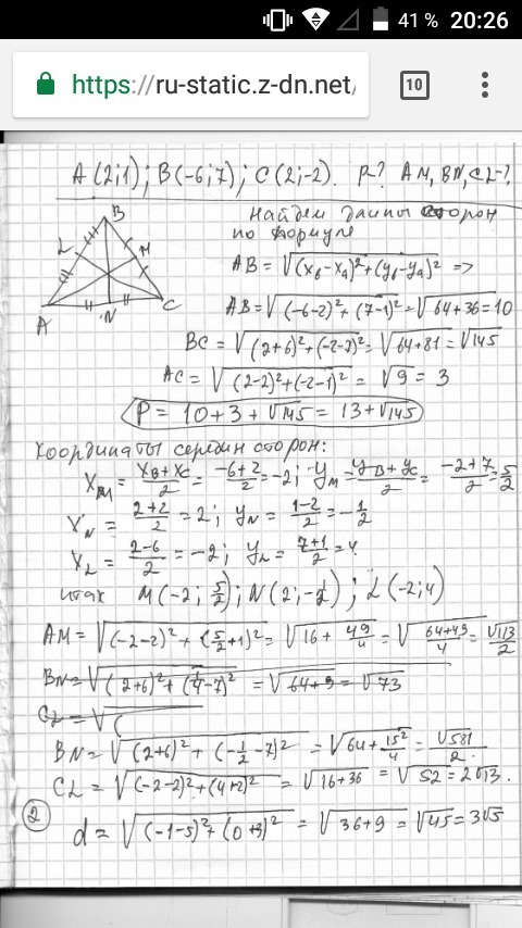
Даны вершины треугольника А(2;1), В(-6;7) и С(2;-2). Найдите периметр и медианы треугольника

Ответы

Ответ дал: альберт100
2
если неправильно прости
Приложения:

альберт100: это правельный ответ
Вас заинтересует