Ответы
Ответ дал:
1
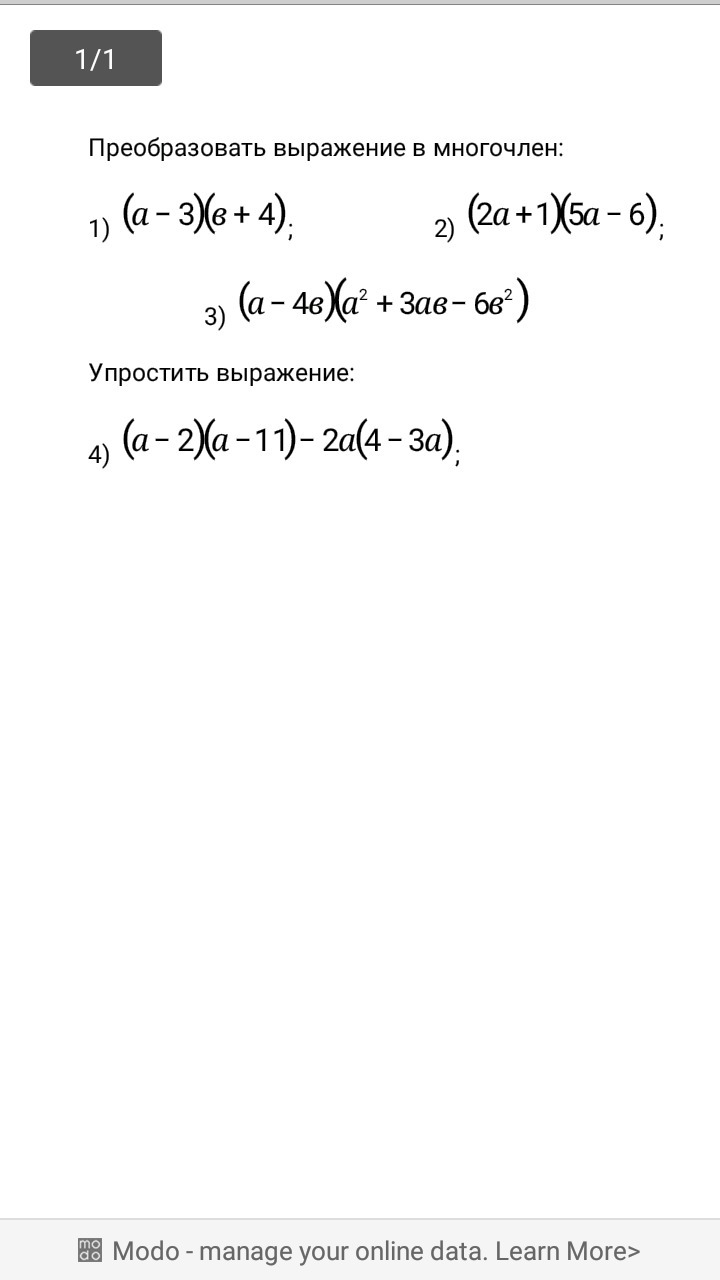
1) (a-3)(b+4)=ab+4a-3b-12
2) (2a+1)(5a-6)= 10a²-12a+5a-6=10a²-7a-6
3) (a-4b)(a²+3ab-6b²)=a³+3a²b-6ab²-4a²b-12ab²-24b³=a³-a²b-18ab²-24b³
4) (a-2)(a-11)-2a(4-3a)= a²-11a-2a+22-8a+6a²=7a²-21a+22
2) (2a+1)(5a-6)= 10a²-12a+5a-6=10a²-7a-6
3) (a-4b)(a²+3ab-6b²)=a³+3a²b-6ab²-4a²b-12ab²-24b³=a³-a²b-18ab²-24b³
4) (a-2)(a-11)-2a(4-3a)= a²-11a-2a+22-8a+6a²=7a²-21a+22
Вас заинтересует
2 года назад
2 года назад
2 года назад
2 года назад
3 года назад
3 года назад
9 лет назад