• Предмет: Математика
  • Автор: Аноним
  • Вопрос задан 11 лет назад

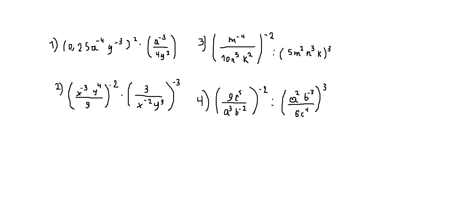
ребят помагите пожалуста надо упрастить помагите пожалуста лучшее решение дам 

Приложения:

Ответы

Ответ дал: Artem112
0
(0.25a^{-4}y^{-3})^2cdot frac{a^{-3}}{4y^2} = 0.0625a^{-8}y^{-6}cdot frac{a^{-3}}{4y^2} = 0.0625a^{-11}y^{-8}

( frac{x^{-3}y^4}{9} )^2cdot (frac{3}{x^{-2}y^3} )^{-3}=
 frac{3^4}{x^{-6}y^8}cdotfrac{x^{-6}y^9}{3^3}= 3y

( frac{m^{-4}}{10n^5k^2} )^{-2}:(5m^2n^3k)^3=
 frac{100n^{10}k^4}{m^{-8}}cdot frac{1}{125m^6n^9k^3}=
0.8m^2nk

( frac{9c^5}{a^3b^{-2}} )^{-2}:( frac{a^2b^{-3}}{6c^4} )^3=
 frac{a^6b^{-4}}{81c^{10}}  cdot frac{216c^{12}}{a^6b^{-9}}=
frac{8c^2b^5}{3}
Вас заинтересует