Ответы
Ответ дал:
2
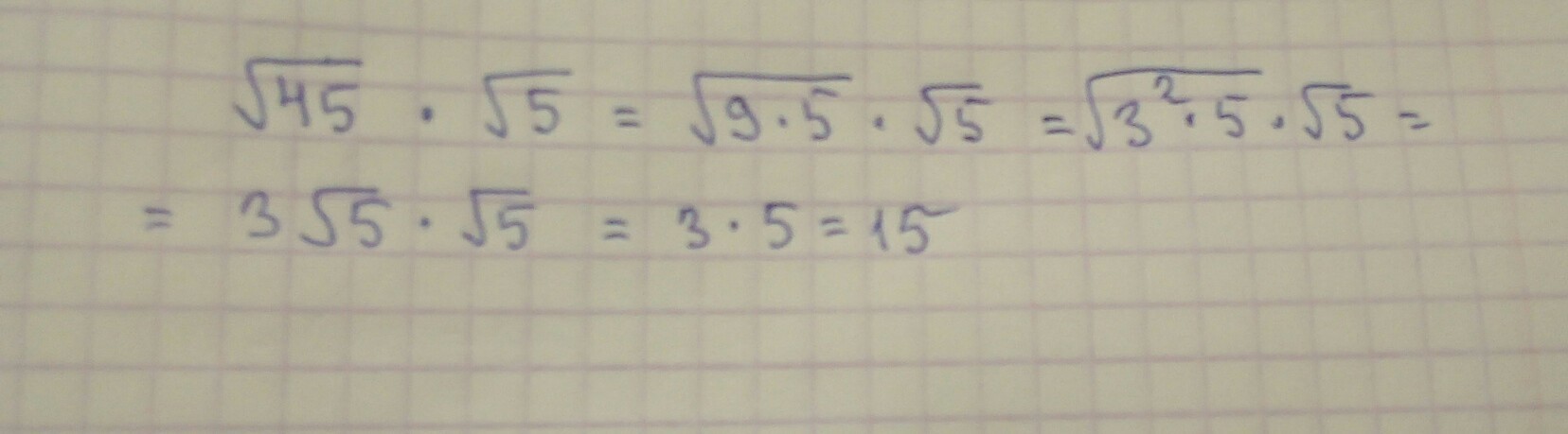
√45 · √5 = √9 · √5 · √5 = 3 · 5 = 15
Ответ дал:
0
фоточка тебе в помощь ;)
Приложения:

Вас заинтересует
1 год назад
2 года назад
2 года назад
3 года назад
3 года назад
8 лет назад
8 лет назад