Ответы
Ответ дал:
1
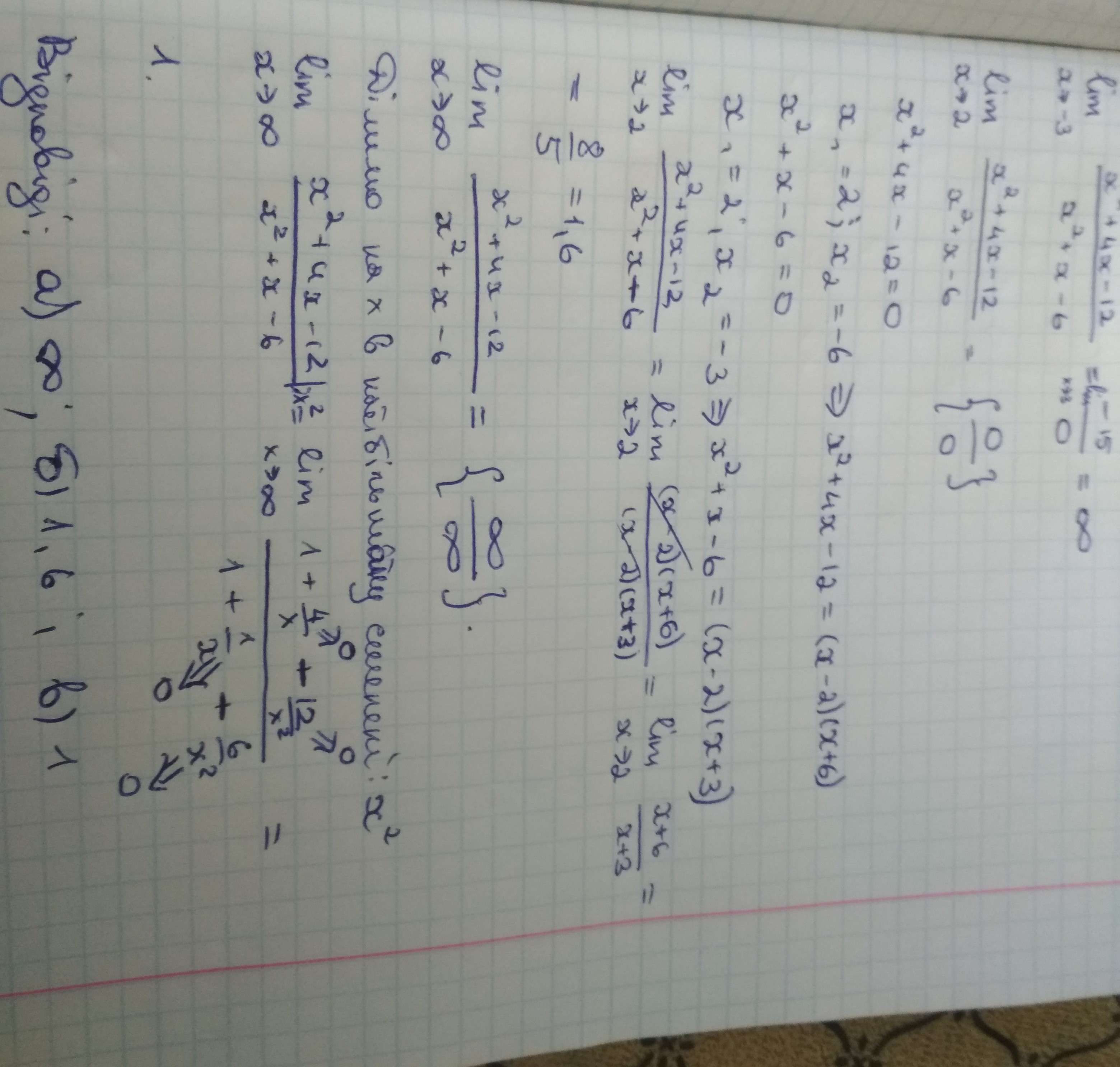
Відповідь: а) ∞ б) 1,6 в) 1
Розв'язання на фотографії
Розв'язання на фотографії
Приложения:

Вас заинтересует
1 год назад
1 год назад
2 года назад
3 года назад
3 года назад
8 лет назад