• Предмет: Алгебра
  • Автор: Аноним
  • Вопрос задан 2 года назад

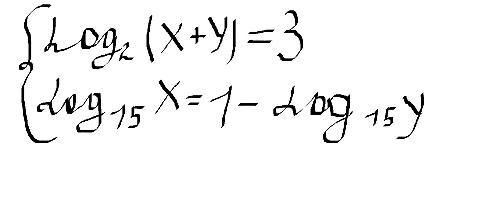
Система логарифмических уравнений! Помогите!

Приложения:

Ответы

Ответ дал: ВладимирБ
3
Решение смотри на фото
Приложения:
Вас заинтересует